编译:高杰
许多人认为,
痛痛快快大哭一场
能帮助宣泄情绪、重获轻松。
但一项最新研究表明——
事情没那么简单。

奥地利卡尔·兰德斯泰纳大学的科学家追踪记录了315次真实生活中的哭泣场景,试图弄清是什么触发了眼泪,以及流泪之后情绪如何变化。他们开发了一款智能手机应用,让106名成年人在哭泣后立即记录感受,随后在15分钟、30分钟和60分钟后再次报告。参与者还需记录哭泣的诱因、持续时间和强度,并在每晚回顾当日是否遗漏哭泣事件。

这项研究不同于以往依赖回忆或实验室诱导的研究,“我们的目标是在真实的生活场景中研究哭泣——在日常生活发生的地方和时间进行研究。”研究主要作者、奥地利卡尔·兰德斯泰纳大学的Stefan Stieger表示。
数据显示,4周内,87%的参与者至少哭泣1次,平均每人经历约5次哭泣事件,大约每5天一次。
研究结果令人意外:
哭泣通常不会带来即时的情绪缓解
事实上
许多人在眼泪停止后感觉更糟

哭泣效果全看诱因
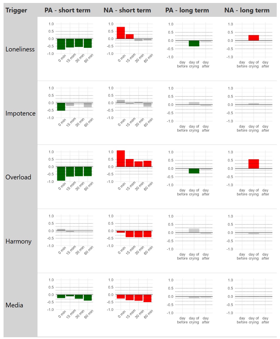
哭泣对情绪的具体影响,几乎完全取决于触发原因,即你为何而哭。研究发现:
▲因压力、孤独或不堪重负而哭泣的人,往往会经历更强烈的负面情绪。这类自我聚焦的触发因素导致正向情绪急剧下降,负向情绪显著上升,且这种负面影响具有持久性。即使是1小时后,正向情绪仍显著低于正常水平,整日整体情绪都受到拖累。数据显示,因感到不知所措而哭泣的参与者,情绪恢复最为缓慢。
▲因温馨共鸣(如被他人善意行为所触动)而哭泣的个体,虽然情绪不会立即改变,但约15分钟后负向情绪显著下降,逐渐回归正常。

哭泣后对不同触发因素的积极情感(PA)和负面情感(NA)发生变化
从诱因分布看,媒体消费是最常见的哭泣触发因素(如影视、音乐),其次是压力过载、无助感、孤独与温馨共鸣。不同诱因不仅决定情绪走向,还影响哭泣强度——因感到不知所措或孤独而引发的哭泣最为强烈,持续时间最长,平均每次持续11~13分钟。
男女性别差异
研究同时揭示了清晰的性别差异。女性平均每月哭泣近6次,而男性不足3次;女性哭泣持续时间更长(平均约8分钟),强度也明显高于男性。
诱因偏好也大相径庭:女性更多因孤独感或与亲人的个人冲突而哭泣,而男性则更可能因无助感或媒体内容而流泪。这一发现与既往研究一致,女性倾向于将哭泣作为关系冲突中的情绪表达工具,而男性更多在无法控制的场景(如亲友重病)或艺术体验中流泪。
值得注意的是,无论男女,因自身困境(压力、孤独)哭泣都会加重负面感受;因外部感动(电影、善举)落泪才可能带来舒缓。

情绪影响短暂
值得注意的是:任何情绪影响,无论是正面还是负面,都在数小时内消退。研究追踪了哭泣前、当天和次日的整体情绪,发现无论何种诱因,到当天结束时情绪基本恢复至平常水平;到次日早晨,所有影响完全消失,回归基线。
该研究还原了哭泣最真实的情绪价值:哭泣没有通用的解压效果,它只是情绪的表达,而非情绪的修复。哭完是否好受,不取决于眼泪,而取决于你为何而哭。

然而,研究也存在一定局限。由于完全依赖自我报告,参与者可能无法准确判断自己的情绪状态,也可能遗漏一些短暂或轻微的哭泣事件。此外,研究设计未能将哭泣与经历类似强烈情绪但未流泪的情况进行比较,因此难以确定观察到的情绪变化究竟是哭泣行为本身所致,还是强烈的情绪事件本身所致。
尽管如此,这项研究为我们理解人类情绪调节提供了重要视角。哭泣并非简单的压力释放阀门,而是复杂情绪生活的一部分。对于因孤独、压力而哭泣的个体,可能需要额外的情绪支持(如解决问题、陪伴倾听),而非期待眼泪自动带来缓解。这一发现对心理健康干预具有重要参考价值,理解哭泣背后的原因,可能比关注哭泣行为本身更为关键。
数据图及参考来源:
https://online.ucpress.edu/collabra/article/12/1/157541/217562/Effects-of-Crying-on-Affect-An-Event-based